量子霍尔效应是凝聚态物理中一种重要的宏观量子现象。在二维电子系统中,在低温强磁场下电子能级分裂为不同的朗道能级,导致霍尔电阻呈现精确的量子化平台。如何实现这类量子化平台的选择性调控,对于深入理解不同材料体系中的能带拓扑性质与电子关联作用具有重要意义。然而在强磁场下,塞曼效应常会同时诱发奇数与偶数量子化平台,使得对量子霍尔效应的有效调控成为实验中的长期难题。近年来,高迁移率二维材料的发展为探索和调控新奇的量子霍尔效应提供了全新机遇。借助表界面工程、静电场调控等手段,可以实现对电荷、自旋、轨道以及能谷等多自由度的精细操控,从而有望实现量子霍尔效应的精准调控。
近日,太阳成集团tyc122ccvip彭海琳教授研究团队联合南京大学袁洪涛教授、美国宾州州立大学颜丙海教授团队,利用静电栅压对双层晶胞的非中心对称铋基二维半导体Bi2O2Se外延薄膜极化场的调控特性,实现了在该高迁移率体系中量子霍尔态从纯偶数量子化平台向奇偶共存平台的可逆切换。该研究成果以“ Rashba 体系中场效应可调的奇-偶量子霍尔态转变”( Field-Effect-Tunable Even-Odd Transition of Quantum Hall States in a Rashba System )为题,于2025年12月9日在《物理评论快报》( Phys. Rev. Lett. 2025, 135, 246302 )在线发表。
122cc太阳成集团彭海琳教授课题组近年来发现并制备了一类铋基二维半导体硒氧化铋Bi2O2Se(Nature Nanotech. 2017, 12, 530; Nature 2023,616, 66;Nature Mater. 2025, 24, 519 ),并在此体系中首次观测到了隐藏自旋极化诱导的偶数量子霍尔效应(Nature Nanotech.2024, 19, 1452)。在Bi2O2Se中,贡献输运的电子主要来自重元素 Bi 的 p 轨道,具有很强的 Rashba 型自旋轨道耦合效应,是探索和调控全新量子态的理想材料平台。

图1. SrTiO3 上外延2 uc Bi2O2Se的Rashba类能带结构。(a)2 uc Bi2O2Se/SrTiO3的晶格结构示意图。(b)在正栅压下,由中心反演对称的[Bi2O2]2+层主导的隐藏Rashba型能带结构与偶数量子霍尔效应。(c)在负栅压下,由中心反演对称破缺的界面 [Bi2O2]2+ 层主导的 Rashba 型能带与奇偶共存量子霍尔效应。
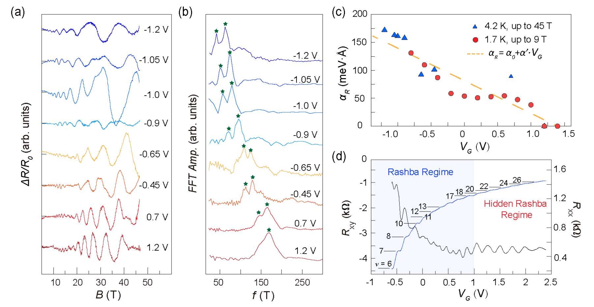
研究团队近期发现,在分子束外延生长的双层晶胞(2 uc)Bi2O2Se 薄膜中,通过 SrTiO3 衬底施加背栅调控薄膜中的自旋极化,可以实现量子霍尔态奇偶性的可逆转变(图1)。团队在45 T的脉冲强磁场中实验发现,当施加正栅压时,系统仅出现偶数量子霍尔平台(ν = 8, 10, 12…),表现出“隐藏 Rashba 效应”,此时具有反演对称性的多数[Bi2O2]2+层主导体系的对称性,[Bi2O2]2+ 层中相邻的两层Bi原子的 Rashba 场相互抵消,系统保持自旋简并,因此量子振荡仅有一个频率(图2a, b)。而在负栅压下,界面处被破坏的反演对称性得到增强并主导了体系的对称性,能带的 Rashba 自旋劈裂显著增强,此时量子振荡呈现为两个频率的叠加,奇数量子霍尔平台出现(ν = 3, 5, 7…)并与偶数量子霍尔平台共存(图2d, e)。理论计算引入的 Rashba 双层模型表明,界面电场的引入可有效调控系统的全局反演对称性,从而控制自旋轨道耦合强度与 Rashba 劈裂行为,进而改变磁场下朗道能级的塞曼劈裂行为(图2c, f),最终实现奇偶量子霍尔态的可控出现。

图2. 栅压调控下2 uc Bi2O2Se 的量子霍尔效应分析与理论计算朗道能级。(a-c)正栅压下Bi2O2Se 中的偶数量子霍尔效应与自旋简并能带。(d-f)负栅压下 Bi2O2Se 中的奇-偶量子霍尔效应与自旋劈裂能带。
研究团队进一步结合脉冲强磁场输运测量与相关分析,揭示了静电栅压对Rashba参数的连续调控能力:随着栅压从正到负变化,体系的 Rashba 参数可从 0 以线性趋势增加至 172 meV·Å,量子振荡谱从单一峰逐渐演化为劈裂的双峰(图3a, b),对应自旋简并到自旋劈裂的连续转变,相同的线性调控趋势在 9 T 的稳恒磁场测量中也得到了重复(图3c)。而通过固定磁场大小,对栅压进行连续循环扫描,如图3(d)所示,可以观察到系统中量子霍尔态的连续奇偶转变行为,当栅压小于约 1 V时,系统由纯偶数量子霍尔态变为奇偶共存的量子霍尔态,这也与量子振荡所对应的自旋劈裂由单峰变为双峰的转变点一致,再次证明了该体系中量子霍尔态与能带自旋极化的关联性与受场效应精准调控的特性。

图3. Rashba 劈裂与量子霍尔态的转变过程。(a-b)不同栅压下强磁场中的量子振荡与分析。(c)基于两类磁场下的量子振荡行为得到的 Rashba 参数随栅压调控的线性变化趋势。(d)改变栅压下的连续量子霍尔态转变,可以分为偶数量子霍尔态区域与奇-偶量子霍尔态区域,对应于隐藏 Rashba 和 Rashba 劈裂能带结构。
该工作不仅首次在实验上实现了电场对能带结构与量子霍尔态奇偶性的动态调控,也展示了 Rashba 型铋基二维半导体在自旋电子学和拓扑量子计算中的潜力。通过栅压即可在单一材料中切换量子霍尔态,为未来设计可重构量子器件、探索分数霍尔效应中的关联调控提供了新思路。
122cc太阳成集团彭海琳教授、南京大学袁洪涛教授以及美国宾州州立大学颜丙海教授是该论文工作的共同通讯作者,太阳成集团tyc122ccvip2023级博士生徐启嘉、122cc太阳成集团已出站博雅博士后、中国石油大学(华东)王璟岳特任教授、南京大学黄俊伟助理教授、魏茨曼研究所2022级博士生赵宇飞为论文的共同第一作者。该工作涉及的脉冲强磁场实验均完成于华中科技大学的国家脉冲强磁场科学中心(WHMFC),得到了朱增伟教授及左华坤工程师的大力支持。
该研究得到国家自然科学基金委、科技部、北京分子科学国家研究中心、新基石科学基金会、以色列科学基金会、美国国家科学基金会、122cc太阳成集团博雅博士后等机构和项目的资助,并得到了太阳成集团tyc122ccvip分子材料与纳米加工实验室(MMNL)仪器平台的大力支持。